Efek Sinergi Palygorskite Nano-Organik Terhadap Sifat Aspal Modifikasi SBS Berbentuk Bintang Bagian 1
Jul 24, 2023
Abstrak: Dengan pesatnya perkembangan konstruksi ekonomi, aspal modifikasi styrene-butadiene-styrene (SBS) semakin banyak digunakan dalam rekayasa jalan raya, namun masih banyak kekurangan dalam proses penggunaannya. Untuk lebih meningkatkan kinerjanya untuk digunakan, palygorskite nano organik (A-Pal) dan SBS berbentuk bintang digabungkan untuk mendapatkan aspal yang dimodifikasi dalam penelitian ini. Stabilitas suhu tinggi aspal modifikasi SBS ditingkatkan setelah digabungkan dengan A-Pal untuk uji stabilitas suhu tinggi dengan rheometer geser dinamis. A-Pal harus meningkatkan energi bebas permukaan dan adhesi aspal modifikasi SBS dengan analisis uji stabilitas air. Uji penuaan menunjukkan bahwa A-Pal dapat mengurangi dekomposisi oksigen termal SBS dan meningkatkan kinerja anti penuaan dan ketahanan lelah aspal modifikasi SBS. A-Pal memiliki efek peningkatan tertentu pada kinerja suhu rendah aspal modifikasi SBS seperti yang ditunjukkan oleh uji ketahanan retak suhu rendah. A-Pal-compounded SBS-modified asphalt memiliki stabilitas penyimpanan yang baik pada suhu normal dengan suhu kompatibilitas kritis terendah.

Klik Dimana Saya Dapat Membeli Cistanche
【Untuk info lebih lanjut:george.deng@wecistanche.com / WhatApp:86 13632399501】
Kata kunci: palygorskite; SBS; aspal yang dimodifikasi; sifat reologi
1. Perkenalan
Dalam beberapa tahun terakhir, bahan nano dan teknologi nano telah diterapkan lebih sering di bidang bahan lalu lintas perkerasan, dan aspal yang dimodifikasi nano telah menjadi salah satu topik penelitian yang hangat [1–4]. Saat ini, material silikat berlapis nano umumnya diaplikasikan pada material aspal karena outputnya yang besar dan performa yang baik [5–7]. Silikat berlapis nano dengan struktur kristal khusus, yang membuat molekul aspal memasuki struktur berlapis, dapat meningkatkan jarak lapisan, memperbaiki struktur pengelupasan bentuk, yang mencegah oksigen menembus aspal dan menunda penuaannya. Oleh karena itu, aspal yang dimodifikasi nano memiliki sifat anti-rutting dan anti-aging yang baik [8-10]. Pada saat yang sama, bahan nano yang dimodifikasi secara organik juga dapat meningkatkan derajat dispersi polimer dalam aspal, memberikan prospek pengembangan aspal yang luas di masa depan.
Palygorskite (Pal), juga dikenal sebagai attapulgite, adalah rantai berlapis mineral tanah liat magnesium-aluminium silikat yang kaya air. Ia memiliki reputasi sebagai "raja bumi" untuk aplikasinya yang luas. Struktur kristal Pal dicirikan oleh lembaran tetrahedral Si-O lapis ganda yang terhubung dengan lembaran oktahedron lapis tunggal (Mg, Al) -O, dan lapisan unit dihubungkan oleh oksigen untuk membentuk kristal seperti pori. struktur [11]. Pori-pori diisi dengan air zeolit dan air kristal untuk membentuk kristal tunggal berserat. Serat tunggal memiliki panjang sekitar 0.5 hingga 1.0 µm, bahkan ada yang hingga 1 cm, dan diameter sekitar 20 hingga 30 µm [12]. Pal telah banyak digunakan di bidang bahan pelapis [13], semen [14], aspal, dan bahan bangunan lainnya karena reologi yang baik, daya serap, dan biaya yang lebih rendah [15-17].

Beberapa penelitian menunjukkan bahwa keberadaan Pal nano-organik dapat secara efektif meningkatkan ketahanan penuaan aspal dan kompatibilitas antara polimer dan aspal. Zhang dkk. [10] mensintesis organik-Pal di bawah iradiasi gelombang mikro dan menerapkannya pada aspal yang dimodifikasi Styrene butadiene rubber (SBR). Mereka menemukan bahwa organic-Pal meningkatkan kompatibilitas dan stabilitas penyimpanan aspal modifikasi SBR. Kemudian, mereka mempelajari sifat reologi dan morfologi aspal termodifikasi SBR dengan organik-Pal dan menemukan bahwa organik-Pal memiliki efek positif dalam meningkatkan sifat viskoelastisitas dan anti-rutting aspal modifikasi SBR [18]. Matahari dkk. [15] menerapkan Pal pada aspal epoksi dan menemukan bahwa Pal memiliki efek yang baik pada sifat tarik dan perekat. Jin dkk. [19] menerapkan organic-Pal ke aspal dan menemukan bahwa ketahanan penuaan aspal sangat meningkat. Saat ini, pengaruh organic-Pal terhadap aspal modifikasi styrene-butadiene-styrene (SBS) masih jarang dipelajari. Untuk lebih memahami efeknya dan meningkatkan kinerja aspal modifikasi SBS, studi ini menggunakan pengubah SBS berbentuk bintang YH-801 dan palygorskite nano-organik (A-Pal) untuk menyiapkan campuran aspal modifikasi SBS. Bagian aspal yang ringan dapat diserap oleh Pal dengan adsorpsi yang kuat, sehingga struktur koloid aspal dapat diubah dan stabilitas suhu aspal yang dimodifikasi dapat ditingkatkan [20].
2. Persiapan Bahan dan Cara Uji
2.1. Bahan
Aspal 70# (AH-70) diproduksi oleh Maoming Petrochemical Co., Ltd. (Guangzhou, Tiongkok) dengan hasil uji kinerja dasar yang ditunjukkan pada Tabel 1. Palygorskite berasal dari Jiangsu, Tiongkok. Parameter kinerja dasar ditunjukkan pada Tabel 2. Kopolimer blok stirena-butadiena-stirena berbentuk bintang YH-801 (SBS4303) diproduksi oleh Yueyang Baling Petrochemical (Hunan, China) dengan rasio blok 30/70.

2.2. Persiapan Aspal Modifikasi SBS-Komponen A-Pal
Berdasarkan penelitian kami sebelumnya [19,21], Pal direaksikan dengan larutan HCl 1 mol/L pada suhu 60 ◦C selama 1 jam untuk menghilangkan beberapa partikel besar dan kationik di luar bahan mentah, kemudian dicuci hingga netral dan kering. Pal dan -aminopropyltriethoxysilane (APTES) yang diberi perlakuan didispersikan dalam larutan xylene, dan metode refluks kondensasi digunakan untuk pengadukan magnet selama 10 jam, kemudian dicuci beberapa kali dengan filtrat, dikeringkan dan dihancurkan untuk mendapatkan A-Pal untuk meningkatkan kompatibilitas dengan matriks aspal. Jumlah 0 persen berat , 1 persen berat , 3 persen berat , dan 5 persen berat A-Pal, yang menggabungkan 5 persen berat aspal modifikasi SBS, dibuat dengan metode pencampuran lebur (dinamakan AH-70 ditambah 5Y, AH-70 ditambah 5Y ditambah 1A, AH-70 ditambah 5Y ditambah 3A, dan AH-70 ditambah 5Y ditambah 5A, berturut-turut).
2.3. Karakterisasi
Mikroskop fluoresensi (FM) digunakan untuk menggambarkan fase morfologi aspal yang dimodifikasi dengan eksitasi cahaya biru-ungu gelombang pendek (λ=420 nm) (DM3000, Leica). Morfologi fase komponen fluoresen dalam aspal diamati dengan mikroskop optik untuk mempelajari lebih lanjut korelasi antara struktur mikro dan sifat makroskopik [22].

2.4. Evaluasi Rheologi Suhu Tinggi
Performa suhu tinggi aspal mengacu pada kemampuan aspal untuk menahan deformasi permanen di bawah beban, yang dievaluasi oleh rheometer geser dinamis (DSR, MCR 301, Anton Paar, Austria) untuk pemindaian suhu dan frekuensi tes pemindaian. Uji pemindaian suhu dilakukan oleh AASHTO T315-05 [23] untuk mempelajari pengaruh perubahan suhu pada modulus geser kompleks G* dan sudut fasa δ aspal modifikasi SBS yang dikompon A-Pal, dengan laju pemanasan 2 ◦C/menit dan suhu 40~90 ◦C. Sebagian besar aspal di bawah suhu kerja perkerasan milik cairan non-Newtonian pseudo-plastik, dan viskositas aspal menurun dengan meningkatnya laju geser. Ketika laju geser sangat tinggi atau sangat kecil, viskositas cairan non-Newtonian pseudo-plastik mendekati konstan, dan daerah di mana viskositas aspal tidak berubah dengan laju geser disebut daerah aliran Newtonian pertama dan daerah aliran Newton kedua. Viskositas fluida non-Newtonian pseudo-plastik berada di wilayah pertama dan mencapai maksimum ketika konstan, yang disebut viskositas geser nol (ZSV) [24]. Viskositas fluida non-Newtonian pseudo-plastik berada di wilayah kedua dan mencapai minimum ketika konstan, yang disebut viskositas geser antarmuka (ISV). Hasil pengujian dilengkapi dengan model Carreau dan perhitungan ZSV [25]. Pengujian pada suhu 60 ◦C menurut AASHTO T315-05, pelat osilasi 25 mm dan ketebalan film 1 mm digunakan untuk pengujian pemindaian frekuensi dalam kisaran 0,01–100 Hz, dan kurva dipindai oleh pertumbuhan eksponensial.
2.5. Evaluasi Stabilitas Air
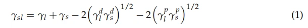
Sudut kontak dari sampel aspal modifikasi SBS yang digabung dengan A-Pal diukur dengan alat pengukur sudut kontak (DSA100, Kruss, Jerman). Metode sessile drop dilakukan dengan air murni, formamida, dan etilen glikol. Energi bebas permukaan dihitung dengan metode Owens–Wendt–Rabel–Kaelble (OWRK) [26], dan hubungan antara ketiganya dinyatakan dengan metode OWRK sebagai berikut.
![]()
di mana s adalah energi bebas permukaan dari fase padat-cair, l adalah energi bebas permukaan dari cairan, s adalah energi bebas permukaan dari padatan, ld adalah komponen dispersi dari cairan, sd adalah komponen dispersi dari padat, lp adalah komponen polar dari cairan dan sp adalah komponen polar dari padatan.
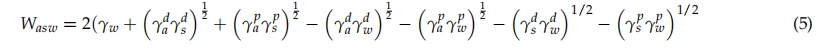
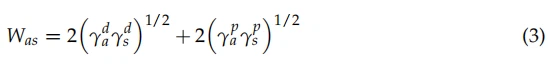
Berdasarkan analisis data energi bebas permukaan dari tiga bahan mineral umum, kerja adhesi (Was) untuk aspal pada permukaan bahan mineral dihitung seperti yang ditunjukkan pada Persamaan (3) [27,28].

Bawa Persamaan (1) ke Persamaan (2) untuk mendapatkan:
![]()
dimana ad adalah komponen dispersi aspal, sd adalah komponen dispersi bahan mineral, p a adalah komponen polar aspal, dan p s adalah komponen polar bahan mineral.
Perubahan energi bebas Gibbs (∆Gaws) pada setiap tahap kerusakan spalling dapat dinyatakan dengan kerja eksfoliasi [29] dan perhitungannya sebagai berikut:
![]()
Bawa Persamaan (1) ke dalam Persamaan di atas untuk mendapatkan:
![]()
di mana w adalah energi bebas permukaan air, d w adalah komponen dispersi air, dan p w adalah komponen polar air.
2.6. Evaluasi Kinerja Penuaan
The aging performance of A-Pal-compounded SBS-modified asphalt was evaluated by the short-term aging, long-term aging, and fatigue factor. The mass loss rate (MLR), softening point increment index (∆S), rutting factor aging index (RAI), and zero shear viscosity aging index (ZSVAI) of asphalt samples were analyzed after aging treatment in the rolling thin film oven test (TFOT) and pressure aging vessel (PAV) to simulate the short-term and long-term aging of asphalt by AASHTO R28-09 [30]. The critical temperature (fatigue limit temperature) grade corresponding to the fatigue factor (G* × sinδ >5000 kPa) diuji dari uji fatik temperatur, sebagai indeks untuk evaluasi ketahanan fatik aspal.

2.7. Evaluasi Rheologi Suhu Rendah
Kinerja aspal suhu rendah mengacu pada kemampuan aspal untuk menahan retak di bawah beban. Resistensi retak suhu rendah dari aspal yang dimodifikasi setelah penuaan TFOT ditambah PAV dievaluasi oleh rheometer balok lentur (BBR), dengan spesifikasi AASHTO T313-12 [31]. Menurut spesifikasi, 6 ◦C adalah rentang uji sampai kinerja aspal tidak memenuhi persyaratan. Kekakuan mulur lentur dan nilai m diuji pada suhu 0, −6, −12, −18, dan −24 ◦C dengan beban {{10}}.980 ± 0,05 N selama 240 detik.

3. Hasil dan Pembahasan
3.1. Karakteristik Morfologi
FM dilakukan untuk mengamati distribusi dan struktur SBS dan A-Pal pada aspal modifikasi [32]. Untuk meningkatkan diskriminasi antara aspal dan pengubah, bagian aspal dari gambar ditampilkan sebagai hitam, dan bagian polimer ditampilkan sebagai titik terang hijau dengan menyesuaikan kecerahan yang ditunjukkan pada Gambar 1. Aspal ditampilkan sebagai fase kontinyu, dan terdispersi -fase SBS tersebar sebagai bentuk pulau di lapangan matriks [33]. Gambar 1b menunjukkan sejumlah besar ikatan silang SBS kecil di aspal, yang menyumbang sebagian kecil dan distribusi aspal yang tersebar tanpa A-Pal. SBS memiliki kemampuan yang rendah untuk menyerap aspal lunak dari aspal, sehingga kompatibilitasnya rendah. Setelah menambahkan 1% berat A-Pal (Gambar 1c), proporsi zat fluoresen sedikit meningkat, dan dispersi masih terdistribusi secara tidak merata di aspal. Kemampuan polimer SBS untuk menyerap aspal lunak setelah penambahan A-Pal mengalami peningkatan tertentu, yang mengarah pada ekspansi volume polimer SBS dan peningkatan derajat pembengkakan [22]. Dengan penambahan A-Pal (Gambar 1d, e), proporsi zat fluoresen terus meningkat, dan tingkat dispersi menjadi semakin seragam. Setelah menambahkan A-Pal, kompatibilitas polimer SBS dengan aspal ditingkatkan sampai batas tertentu; suhu rendah dan kinerja kelelahan aspal yang dimodifikasi harus ditingkatkan [19].

3.2. Kinerja Temperatur Tinggi Aspal Modifikasi SBS A-Pal-Komponen
Stabilitas suhu tinggi merupakan indikator penting dari aspal. Variasi rutted factor yang diperoleh dari uji temperature scanning ditunjukkan pada Gambar 2. Terlihat bahwa penambahan SBS dan A-Pal berkontribusi terhadap peningkatan rutting factor dan ketahanan rutting. Setelah SBS ditambahkan ke aspal, faktor rutting aspal menunjukkan peningkatan yang besar dan ketahanan yang lebih baik terhadap rutting. Faktor rutting terus meningkat dengan penggabungan A-Pal untuk lebih meningkatkan ketahanan rutting. Dibandingkan dengan penelitian sebelumnya, konsisten dan tidak berubah karena perbedaan jenis SBS [18,19]. Sampel dengan kandungan A-Pal 5 wt persen memiliki rutting factor tertinggi dan kemampuan anti rutting terkuat, hal ini menunjukkan bahwa penggabungan A-Pal dapat meningkatkan stabilitas temperatur aspal modifikasi SBS. Nilai faktor rutting menurun dengan meningkatnya suhu, dan laju yang sama, menunjukkan bahwa semua sampel aspal yang dimodifikasi memiliki sifat reologi yang sama.

Temperatur kritis faktor rutting adalah faktor suhu yang sesuai dari G*/sin δ {{0}}.0 kPa dalam uji faktor rutting di Strategic Highway Research Program (SHRP). Suhu kritis setiap sampel ditunjukkan pada Tabel 3. SBS dapat menaikkan suhu kritis sebesar 7,2 ◦C, dibandingkan dengan AH-70. Setelah menambahkan A-Pal, suhu kritis faktor rutting terus meningkat, dan suhu maksimum meningkat menjadi 75,7 ◦C, yang 20 persen lebih tinggi dari aspal matriks.
![]()
ZSV aspal modifikasi meningkat seiring dengan peningkatan kandungan A-Pal, yang serupa dengan hasil pengujian faktor rutting (Tabel 4). ZSV matriks aspal meningkat 296 persen dengan penambahan SBS. Setelah menambahkan 1 wt persen A-Pal, ZSV dari aspal yang dimodifikasi meningkat menjadi 949,4 Pa·s, yang lebih tinggi dari aspal yang dimodifikasi dengan hanya SBS. Dengan meningkatnya kandungan A-Pal, nilai ZSV terus meningkat, dan nilai ZSV dari aspal modifikasi SBS 5 persen berat meningkat menjadi 1291,8 Pa·s, yang 423 persen lebih tinggi dari pada matriks aspal. Hal ini menunjukkan bahwa metode peracikan efektif dalam meningkatkan stabilitas pengikat aspal pada temperatur tinggi.

【Untuk info lebih lanjut:george.deng@wecistanche.com / WhatApp:86 13632399501】
